강의노트 메이슨의 이득공식
강의노트
• 조회수 2532
• 댓글 0
• 작성 4년 전
• 수정 2주 전
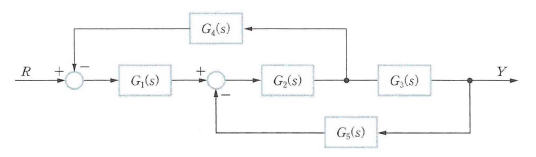
메이슨 이득공식
: 전향 경로의 총 수
: 번째 전향경로의 이득
: 번째 전향경로의 마디를 포함하고 있지 않은 루프의 값
: 1 - (모든 개별 루프이득의 합) + (공동 마디가 없이 떨어져 있는 루프 중 두 개씩 조합하여 이득을 곱한 값의 합) - (공동 마디가 없이 떨어져 있는 루프 중 세 개씩 조합하여 이득을 곱한 값의 합) + (...)




이전 글
다음 글
로그인 하면 댓글을 쓸 수 있습니다.